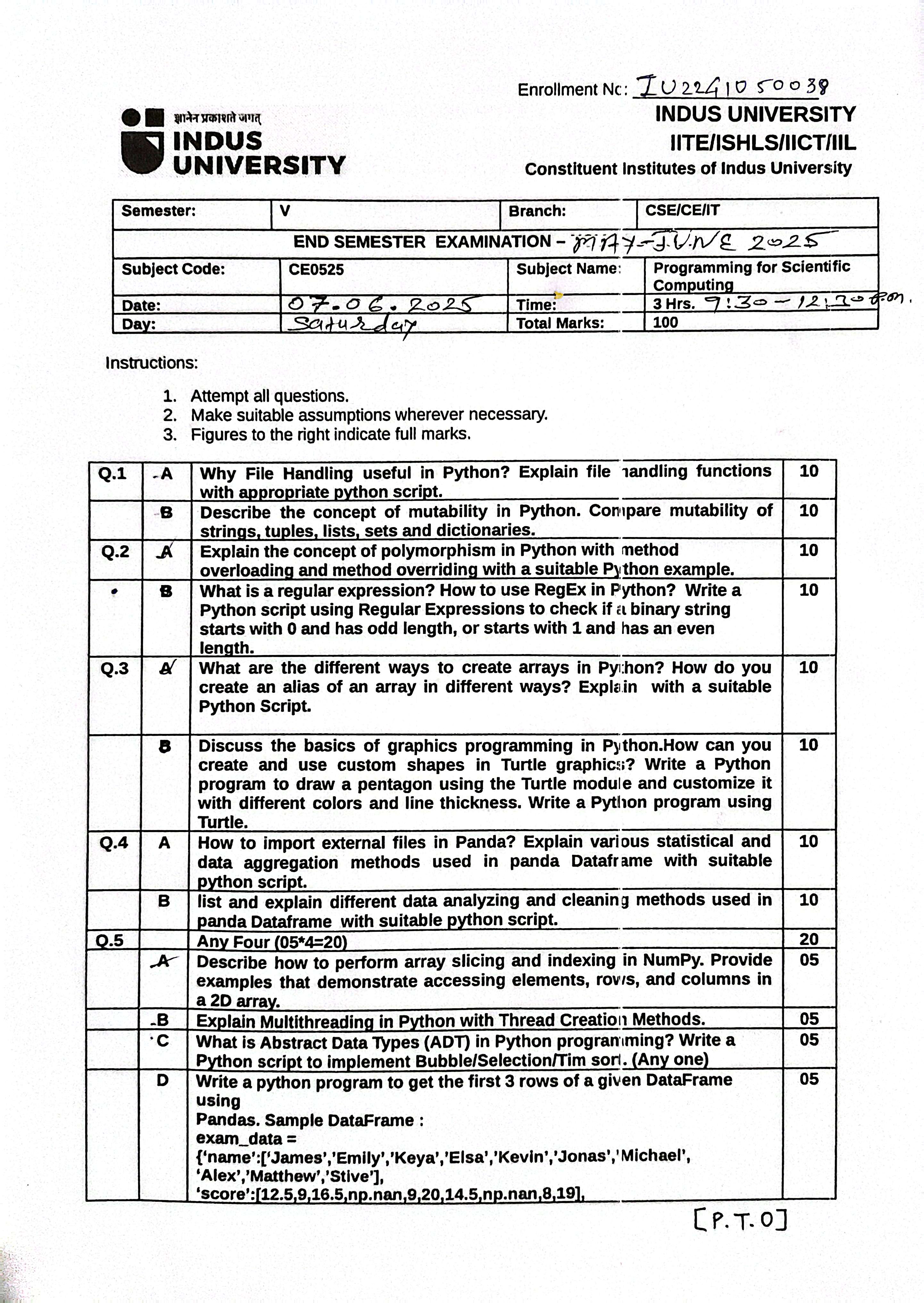
Previous Years PapersPSCPython for Scientific Computing MIMicroprocessing and InterfacingWTWeb Technology